- please follow the task tracker provided to you yesterday.
- complete and submit Outsiders reading response chapter 2 and 3 by end of day tomorrow.
- complete lab 1 hypothesis. tomorrow we begin experiment. i will bring in materials (mugs, spoons, sugar) and kindly ask you do the same for your team.
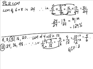
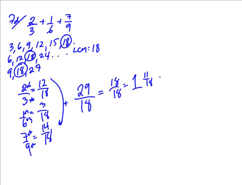
- adding fractions test tomorrow. today's corrections below:
gr7
Thursday, 29 September 2016
Sept 29 2016
Wednesday, 28 September 2016
Sept 28 2016
refer to red task tracker memo for the week you received today. math corrections and homework below:
Tuesday, 27 September 2016
Sept 27 2016
- Science: work on hypothesis lab 1. collect necessary materials to conduct experiment this week. complete and submit processed orange juice questions this week.
- Novel: complete and submit chapter 2 reading response this week. complete and post tuff bulletin. re-read chapter 3. if you don't have hard copy text, download "the outsiders pdf".
- Oral sharing continues this week: book talk, cultural districts, health.
- Math: tomorrow we correct 3 page handout factors/multiples/fractions - this is your prep for your quiz.
Monday, 26 September 2016
Thursday, 22 September 2016
SEPT 22 2016
- complete equivalent fractions/adding fractions unlike denominators sheet
- sign up sheet Sept 26-30 oral sharing of Book Talk, Cultural Districts, and/or Health; refer to success criteria checklist to prepare for your oral sharing
- Outsiders tuff collage
- continue with Knowledgehook missions
Wednesday, 21 September 2016
SEPT 21 2016
Curriculum Night 2016-17
What we are
working on this month:
Reading:
Book Talk
Students are
identifying the elements of a story using a plot diagram and sharing it with
the class.
Social
Studies/Geography: Toronto Cultural Districts
Students are
exploring the location and history of our city’s multicultural communities.
Health/Media
Literacy: Screen Time
Students are
raising awareness about the negative effects of today’s ever-popular screen
time addictions.
Math:
Knowledgehook.com
·
Mission
1, 2, 3 – Numeracy Review
·
Mission
4 – Patterning/Algebra Review
Knowledgehook
allows us to pinpoint areas of struggle that require review.
Tuesday, 20 September 2016
Thursday, 15 September 2016
Sept 15 2016
We continue to work little-by-little on:
- Toronto cultural districts
- Plot diagram book talk
- Screen time addiction
- Silhouette art
- Knowledgehook missions 2 & 3
- math corrections below:
Subscribe to:
Comments (Atom)

















































